根据关于印发《自治州实现巩固拓展教育脱贫攻坚成果同乡村振兴有效衔接实施方案(2021-2025)》的通知(博州教发【2021】80号)文件要求,经温泉县教育局认真统计、比对、审核,提出拟享受生活补助学生名单。现将拟享受生活补助学生名单予以公示,接受广大干部群众监督。如发现相关问题,可通过电话、面谈等形式反映,我们将认真进行受理。公示期内若无异议,将提交县财政局申请脱贫户(监测户)家庭学生生活补助金。
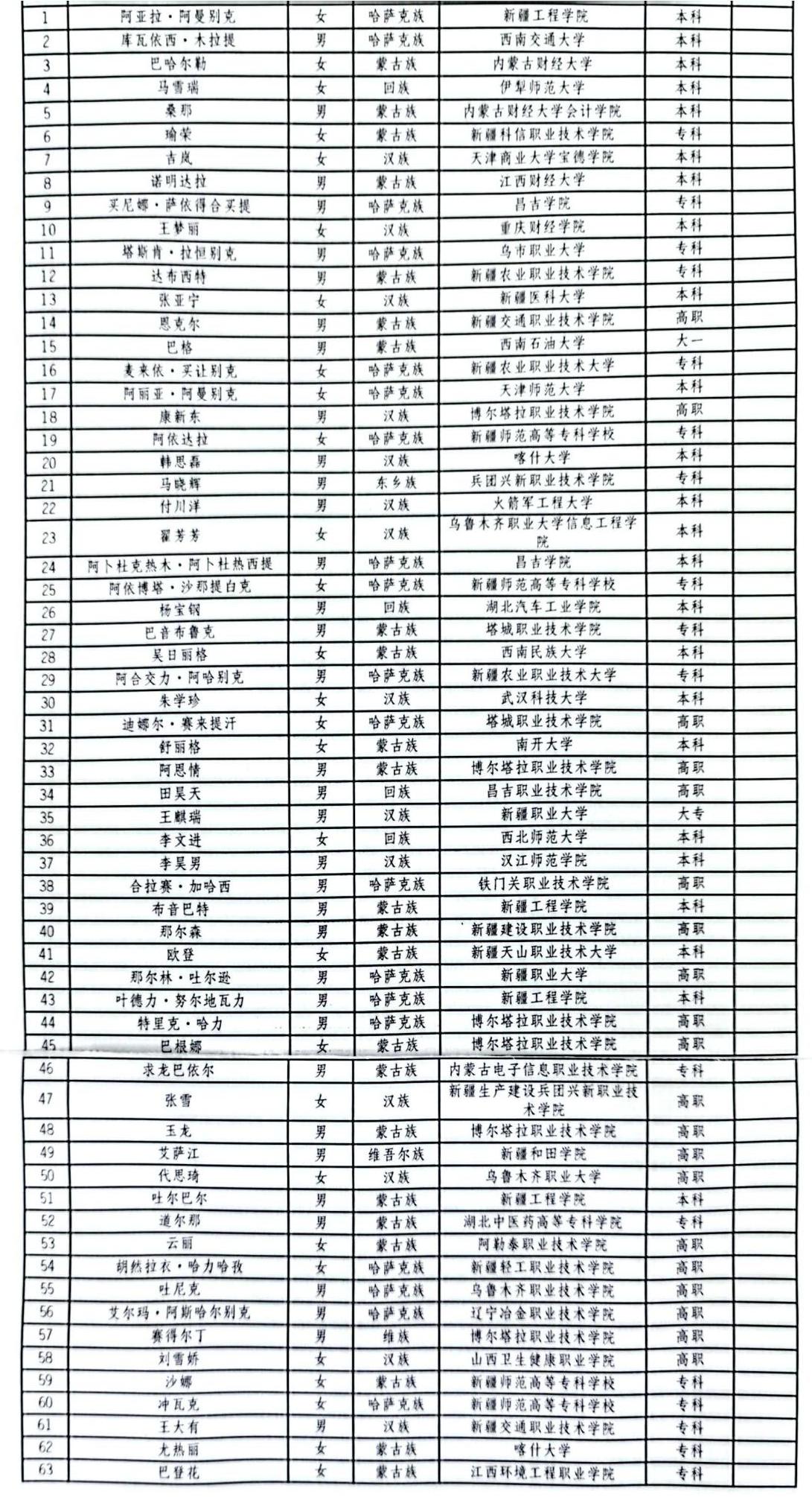
一、拟享受生活补助学生名单

二、公示和受理时间
公示时间为2024年9月18日——2024年9月24日
三、受理反映部门及联系方式
受理部门:温泉县教育局资助中心
电话:0909—8223393